·
Bio-optical
data from the following cruises were used: NBP9711, REV9801 and REV9802,
AMLR2000, AMLR2001, AMLR2004, LMG0402, AMLR2006. NBP0606 was not used.
·
The Chl-a was
the “Chl-to-use” that Haili specified in table SPG_SO_algorithm in Algorithm_OCBAM.mdb
(email on 9/16/2006).
·
Rrs was my type
Rrs3 that is determined as the mean ratio of Lu/Ed in the top valid layer
(specified by visual inspection of profiles), e.g. between 1-6 m depth.
·
The software
interpolates Rrs to any wavelength and can switch between the bands of SeaWiFS,
MODIS, GLI. The maximum band ratio (MBR) can use any of the bands. The standard
plots use SeaWiFS standard bands and
pick the maximum between Lwn at 443, 490, and 510 nm bands as a ratio with
Lwn555.
·
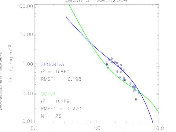
For each cruise
or a set of cruises (NBP9711 and REV9801 and REV9802 were pooled) plots were
made that show the standard OC4v4 versus SPGANTv3. (The SPG version 3 fit produced
as a byproduct of the GLI project).
·
Separate
versions of SPGANTv3 exist for SeaWiFS, MODIS and GLI.
·
The following
plots compare the standard OC4v4 versus the SPGANTv3 for each of the cruises.
For all of the cruises except AMLR2006 the SPGANTv3 produced better retrievals,
i.e. smaller RMS1 error and larger r2. The AMLR2006 had
exceptionally high Chl-a in the AMLR region, however, the dataset used in the
plots does not a dramatically different range. Still, AMLR2006 seems to be
bio-optically different from the other cruises.
·
The first plot
shows all the data together, the following plots show each cruise (cruise
group) separately.
·
It is evident
that, in general, retrievals of moderate level Chl-a concentrations (>0.1 and
< 3 mg m-3) by the NASA global OC4v4 algorithm under-predict Chl-a
by approximately a factor of 2.
·
Compare the
RMS1 values for both OC4v4 and SPGANTv3: for all the cruises except AML2006 the
SPGANTv3 has significantly smaller RMS errors. For AMLR2006 the OC4v4 has
slightly smaller RMS error.
·
Currently I
don’t see a need to modify the SPGANTv3 as slight changes of the coefficients
do not improve the algorithm performance.
|
NBP9711, REV9801, REV9802 |
|
AMLR2000 |
|
AMLR2001 |
|
AMLR2002 |
|
AMLR2004 |
|
LMG0402 |
|
AMLR2006 |
